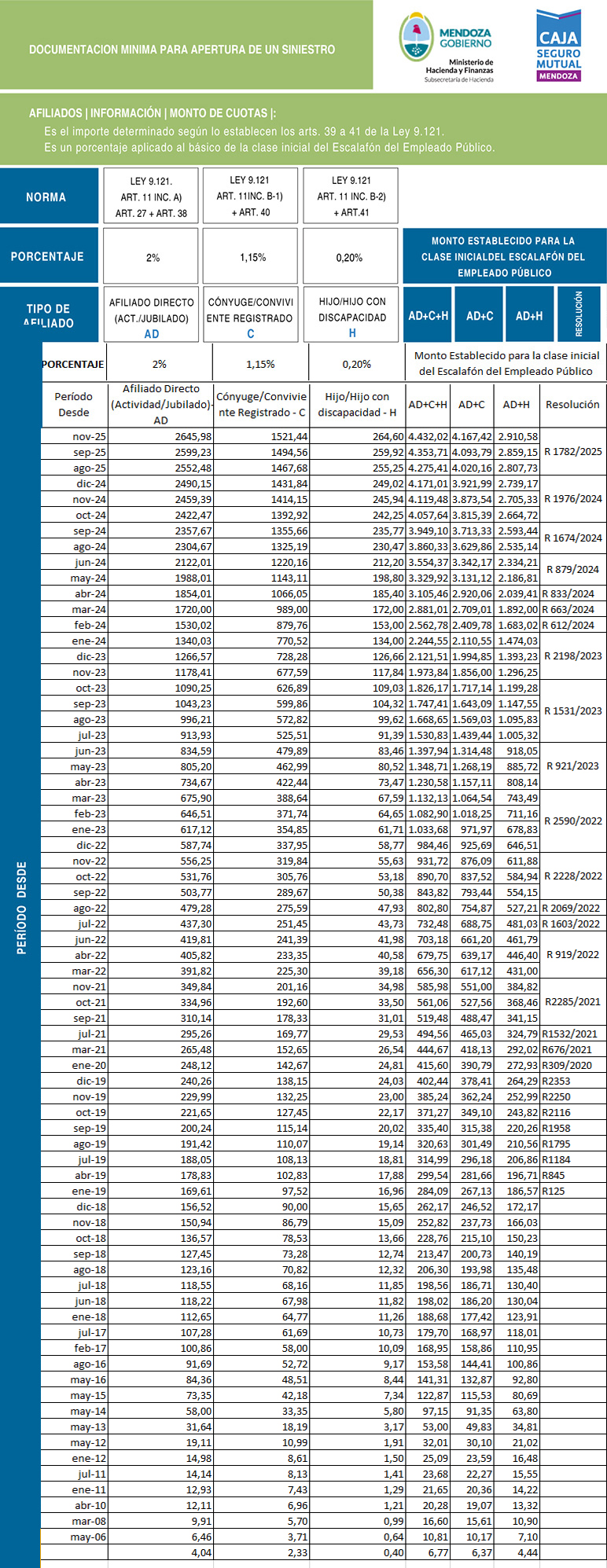
Valor Cuota
El siguiente esquema muestra la documentación mínima requerida.
También presentamos las resoluciones de los Valores de la Cuota:
RESOLUCION Nª125 – CAMBIO DE CUOTA ENERO
RESOLUCION Nº 845 MONTO PRIMA001
RESOLUCION Nº 1184 CAMBIO CUOTA JULIO
RESOLUCION Nº 1795
RESOLUCION Nº 1958
MONTO CUOTAS
